?Boost電路特性及直流傳遞函數的推導-KIA MOS管
信息來源:本站 日期:2023-07-17
Boost變換器的電路結構如圖 1 所示。
圖 1 boost電路結構
boost電路分析
圖 2 boost電路相關分析和電感電流波形
boost電路中,二極管和電感的平均電流的區別在于,當 mosfet 開啟時,二極管中的電流為 0,電感電流線性增大;當 mosfet 關斷時,二極管與電感串聯,二者電流相等。所以,對于 boost 和 buck-boost 電路,Idc取決于 mosfet 的占空比。
boost電路直流傳遞函數的推導
boost電路的特性
根據圖 1 中標示的電流方向和續流通路,以及圖 2 中的相關分析和關鍵波形,可以得出 boost 電路如下結論:
(1)例如,正輸入正輸出 boost 電路可將 12V 輸入變換為 50V 輸出,負輸入負輸出電路可將-12V 輸人變換為-50V 輸出。即電路中輸出大于輸入,因此電路會提高輸入的值而不改變輸入極性。
(2)開關導通時,能量通過開關從直流源輸入電感而不傳遞到輸出端。
(3)開關關斷時,電感儲存的能量通過二極管傳遞給輸出端.同時直流源也給負載提供能量。
(4)由于輸入電容與電感串聯,從而可防止電流突變,輸入電容電流為平滑曲線。
(5)進入輸出電容的電流為脈動流,這是因為它與穩定的直流輸出電流 Iout共同構成二極管的脈動電流。
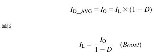
(6)由于輸出平均電容電流為零,因此電路中平均二極管電流必須等于負載電流,即:
此為平均電感電流與負載電流的關系。一般要求電感電流額定值為 1.2xIO(1 – D),系數選擇 1.2 是因為基本設計理論表明電感電流峰值約為其平均值的 1.2 倍,因此選擇電感時要確保其額定值不小于 I.2xIL。
聯系方式:鄒先生
聯系電話:0755-83888366-8022
手機:18123972950
QQ:2880195519
聯系地址:深圳市福田區金田路3037號金中環國際商務大廈2109
請搜微信公眾號:“KIA半導體”或掃一掃下圖“關注”官方微信公眾號
請“關注”官方微信公眾號:提供 MOS管 技術幫助
免責聲明:本網站部分文章或圖片來源其它出處,如有侵權,請聯系刪除。
