二極管的正向導通、反向截止等效電路-KIA MOS管
信息來源:本站 日期:2023-07-21
(1)等效電路
(2)說明
二極管正向導通時可用一電壓降等效,該電壓與溫度和所流過的電流有關,溫度升高,該電壓變小;電流增加,該電壓增加。詳細的關系曲線可從制造商的手冊中獲得。
(1)等效電路
(2)說明
二極管反向截止時可用一電容等效,其容量與所加的反向電壓、環境溫度等有關,大小可從制造商的手冊中獲得。
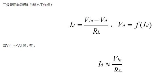
(1)功率二極管穩態時的電流/電壓曲線
(2)說明
而Vd對于不同的二極管,其范圍為 0.35V~2V。
二極管反向截止時的穩態工作點: Id≈0,Vd = -Vin
(3)穩態特性總結
-- 是一單向導電器件(無正向阻斷能力);
-- 為不可控器件,由其兩斷電壓的極性控制通斷,無其它外部控制;
-- 普通二極管的功率容量很大,但頻率很低;
-- 開關二極管有三種,其穩態特性和開關特性不同:
-- 快恢復二極管;
-- 超快恢復,軟恢復二極管;
-- 肖特基二極管(反向阻斷電壓降<<200V,無反向恢復問題);
-- 器件的正向電流額定是用它的平均值來標稱的;只要實際的電流平均值沒有超過其額定值,保證散熱沒問題,則器件就是安全的;
-- 器件的通態電壓呈負溫度系數,故不能直接并聯使用;
-- 目前的 SiC 功率二極管器件,其反向恢復特性非常好。
聯系方式:鄒先生
聯系電話:0755-83888366-8022
手機:18123972950
QQ:2880195519
聯系地址:深圳市福田區金田路3037號金中環國際商務大廈2109
請搜微信公眾號:“KIA半導體”或掃一掃下圖“關注”官方微信公眾號
請“關注”官方微信公眾號:提供 MOS管 技術幫助
免責聲明:本網站部分文章或圖片來源其它出處,如有侵權,請聯系刪除。
