rc充電時間計算公式,RC充電放電計算-KIAMOS管
信息來源:本站 日期:2023-11-09
理論計算:
有很多人的RC充放電時間約等于R*C;
完整的公式應該是:t/RC=-ln(Vs-Vc)/Vs.
t代表時間
R是電阻值,單位為歐姆
C為電容容值,單位是F
Vs為R端輸入的電壓。
Vc為需要上升的電壓。
通過公式,可以計算出一個10K電阻對1uF電容充電到4V需要的時間約為16ms。
仿真:
電路如下
仿真波形如下,上升時間和計算的一樣。
1、電容充電放電時間計算公式:
RC電路的時間常數:τ=RC
V0 為電容初始電壓值;
V1 為電容充滿電壓值;
Vt 為任意時刻的電壓值;
E 為電源電壓;
當t= 1RC時,電容電壓=0.63V1;
當t= 2RC時,電容電壓=0.86V1;
當t= 3RC時,電容電壓=0.90V1;
當t= 4RC時,電容電壓=0.98V1;
當t= 5RC時,電容電壓=0.99V1;
經過3~5個RC后,充電過程基本結束。
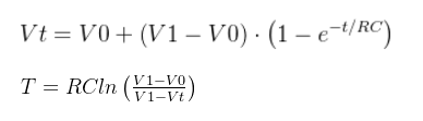
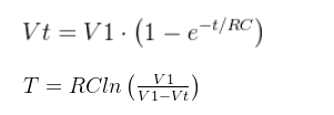
2、充電(電壓為E的電源通過R向初值為0的電容C充電,V0=0,V1=E,故充到t時刻電容上的電壓為)
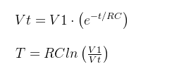
3、放電(初始電壓為E的電容C通過R放電 , V0=E,V1=0,故放到t時刻電容上的電壓為)
聯系方式:鄒先生
聯系電話:0755-83888366-8022
手機:18123972950
QQ:2880195519
聯系地址:深圳市福田區金田路3037號金中環國際商務大廈2109
請搜微信公眾號:“KIA半導體”或掃一掃下圖“關注”官方微信公眾號
請“關注”官方微信公眾號:提供 MOS管 技術幫助
免責聲明:本網站部分文章或圖片來源其它出處,如有侵權,請聯系刪除。
