耗盡區寬度計算公式,耗盡區寬度與摻雜濃度關系-KIA MOS管
信息來源:本站 日期:2024-08-12
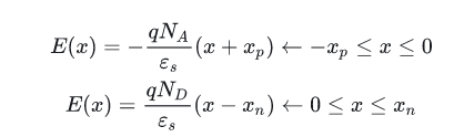
內建電場公式:
對耗盡區電場進行積分,可得到內建電勢Vbi
對于單邊突變結,PN結一側的摻雜濃度遠高于另一側時,如P+N結
耗盡層主要分布在低摻雜一側,同時內建電場峰值取決于低摻雜一側的雜質濃度。
?耗盡區寬度與摻雜濃度的關系是:高摻雜濃度導致耗盡區寬度變窄,而低摻雜濃度則導致耗盡區寬度變寬。
原理主要涉及到半導體物理中的擴散和漂移現象,以及它們如何影響耗盡區的形成。
擴散與漂移現象:
在半導體中,摻雜是指通過引入雜質原子來改變材料的導電性質。這些雜質原子可以提供額外的電荷載體(電子或空穴),從而影響材料的導電性。
擴散是指電荷載體(電子或空穴)從高濃度區域向低濃度區域的運動。在?PN結中,這種擴散作用會導致耗盡區的形成。
漂移則是指電荷載體在電場作用下的定向運動。在耗盡區內,由于存在內建電場,少數載流子(電子或空穴)會受到電場的作用而發生漂移運動。
耗盡區寬度的變化:
當摻雜濃度較高時,單位長度區域內的載流子數量更多,離子數量也更多。這使得在較少的單位長度內就能建立起“一定強度的內電場”,使得PN結進入動態平衡階段(寬度不再發生變化),因此耗盡區寬度變窄。
相反,當摻雜濃度較低時,單位長度區域內的載流子數量更少,離子數量也更少。這需要更多的單位長度才能建立起相同的內電場,使得PN結進入動態平衡階段,因此耗盡區寬度變寬。
聯系方式:鄒先生
聯系電話:0755-83888366-8022
手機:18123972950(微信同號)
QQ:2880195519
聯系地址:深圳市福田區金田路3037號金中環國際商務大廈2109
請搜微信公眾號:“KIA半導體”或掃一掃下圖“關注”官方微信公眾號
請“關注”官方微信公眾號:提供 MOS管 技術幫助
免責聲明:本網站部分文章或圖片來源其它出處,如有侵權,請聯系刪除。
