熱敏電阻測溫電路,NTC測溫電路-KIA MOS管
信息來源:本站 日期:2024-11-08
NTC熱敏電阻器就是負溫度系數熱敏電阻器,即就是電阻值隨著溫度上升而迅速下降,因此可以利用這個特性來測量溫度。
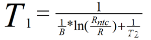
溫度計算公式:
其中,T1和T2指的是K度,即開爾文溫度,開氏度 = 攝氏度+273.15;
Rntc是熱敏電阻在T1溫度下的阻值;
R是熱敏電阻在T2常溫下的標稱阻值,50K的熱敏電阻在25℃的值為50K(即R=50K),即T2=273.15+25 ;
B是熱敏電阻的固有參數,這里B等于3950K。
轉換后T1等于如下:
如上計算出的是開爾文溫度,再減去273.15,就是攝氏度。
典型的微控制器保護電路:
對于快速充電等應用,有必要也測量環境溫度,以避免環境與電池之間的溫差過大。為此需將第二個NTC熱敏電阻直接置于至充電電路板上。
下圖展示了此類典型電路:
聯系方式:鄒先生
座機:0755-83888366-8022
手機:18123972950(微信同號)
QQ:2880195519
聯系地址:深圳市龍華區英泰科匯廣場2棟1902
搜索微信公眾號:“KIA半導體”或掃碼關注官方微信公眾號
關注官方微信公眾號:提供 MOS管 技術支持
免責聲明:網站部分圖文來源其它出處,如有侵權請聯系刪除。
