mos管的輸出特性曲線,三個區,圖文詳解-KIA MOS管
信息來源:本站 日期:2024-05-08
MOS管的輸出特性可以分為三個區:截止區、恒流區、可變電阻區。
特性曲線概念
①輸出特性曲線:固定VGS值,且數值大于閾值電壓時,MOS晶體管的源漏電流IDS隨VDS的變化曲線。
②閾值電壓Vth:當半導體層處于臨界反型時,施加在MOS管柵電容兩端的電壓值。
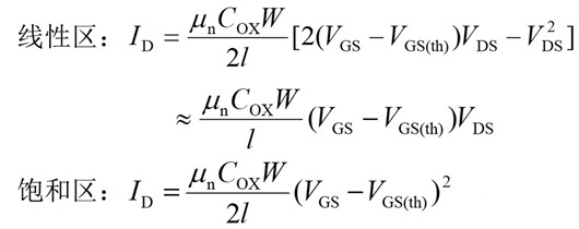
③輸出電流電壓關系表達式:
截止區:當滿足Ugs<Ugs(th),MOS管進入截止區。
截止區在輸出特性最下面靠近橫坐標的部分,表示MOS管不能導電,處在截止狀態。截止區也叫夾斷區,在該區時溝道全部夾斷,電流Id為0,管子不工作。
恒流區:當滿足Ugs≥Ugs(th),且Uds≥Ugs-Ugs(th),MOS管進入恒流區。
恒流區在輸出特性曲線中間的位置,電流Id基本不隨Uds變化,Id的大小主要決定于電壓Ugs,所以叫做恒流區,也叫飽和區,當MOS用來做放大電路時就是工作在恒流區(飽和區)。
注:MOS管輸出特性的恒流區(飽和區),相當于三極管的放大區。
可變電阻區:當滿足Ugs>Ugs(th),且Uds<Ugs-Ugs(th),MOS管進入可變電阻區。
可變電阻區在輸出特性的最左邊,Id隨著Uds的增加而上升,兩者基本上是線性關系,所以可以看作是一個線性電阻,當Ugs不同電阻的阻值就會不同,所以在該區MOS管相當就是一個由Ugs控制的可變電阻。
擊穿區在輸出特性左邊區域,隨著Uds增大,PN結承受太大的反向電壓而被擊穿,工作時應該避免讓管子工作在該區域。
根據MOS管的輸出特性曲線,比如下圖是取Uds=10V的點,然后用作圖的方法,可取得到相應的轉移特性曲線。
轉移特性是表示Uds不變時,Id與Ugs之間的關系。
在上圖的轉移特性曲線中可以看到當Ugs大于4V時,Id大幅度增加,而當Ugs到達6V時,Id達到了最大值。
聯系方式:鄒先生
聯系電話:0755-83888366-8022
手機:18123972950(微信同號)
QQ:2880195519
聯系地址:深圳市福田區金田路3037號金中環國際商務大廈2109
請搜微信公眾號:“KIA半導體”或掃一掃下圖“關注”官方微信公眾號
請“關注”官方微信公眾號:提供 MOS管 技術幫助
免責聲明:本網站部分文章或圖片來源其它出處,如有侵權,請聯系刪除。
