【圖文詳解】場效應管的偏置電路及靜態分析-KIA MOS管
信息來源:本站 日期:2022-08-17
為了保證在有輸入信號時,場效應管始終工作在放大區(恒流區),同晶體管一樣,場效應管放大電路也要建立合適的靜態工作點。所不同的是,場效應管是電壓控制器件,因此它需要有合適的柵源電壓。根據不同類型的場效應管對柵源電壓 UGS 的要求,通常偏置形式有兩種:
一種是只適合結型和耗盡型場效應管的自偏壓電路
一種是用于各種類型場效應管的分壓式偏置電路
1. 自給偏壓式電路
自給偏壓方式適合于結型場效應管和耗盡型場效應管
由耗盡型MOS管的特性可知,即使UGS = 0,在相應的電壓 UDS 作用下也有漏極電流 ID。
在圖所示電路中,當ID流過源極電阻R時會產生壓降 USQ = IDQ * R,由于柵極電流為零,從而使R電流為零,所以柵極電位VGQ = 0,因此柵-源靜態電壓為
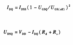
靜態工作點分析:
由以下公式能算出 IDQ 和 UDSQ
2. 分壓式自偏壓電路
上圖所示的電路簡單,也有一定的穩定工作點的作用。但Ra的取值不能取得很大,否則將使負偏壓過高,放大倍數下降,并產生嚴重的非線性失真。
所示的電路為N溝道增強型MOS管共源放大電路,所示電路的改進電路,在它的柵極上加接了一個正電位,即通過電阻Rg1、Rg2分壓后經Rg3加至柵極 go由于柵極加了一個正電位,則可將接在源極s的Rs的阻值適當加大,使靜態工作點Q不至于過低,且穩定度大大提高。
柵極、源極電位分別為:
因此柵-源電壓:
再根據 IDQ 與 UGSQ 之間的關系:
其他變量就能算出來。
聯系方式:鄒先生
聯系電話:0755-83888366-8022
手機:18123972950
QQ:2880195519
聯系地址:深圳市福田區車公廟天安數碼城天吉大廈CD座5C1
請搜微信公眾號:“KIA半導體”或掃一掃下圖“關注”官方微信公眾號
請“關注”官方微信公眾號:提供 MOS管 技術幫助
免責聲明:本網站部分文章或圖片來源其它出處,如有侵權,請聯系刪除。
